Chained Matrix Multiplication Problem
행렬의 곱셈에서, 행렬의 곱셈은 결합법칙이 성립한다.
- (A*B)*C = A*(B*C)
- 하지만, 행렬 곱셈의 순서에 따라서, 각 원소의 곱셈 횟수가 달라지게 된다.
- 예시) A=(5,2),B=(2,3),C=(3,6)
- AB *C : 5*2*3 +5*3*6 = 30+60 = 90
- A*BC : 5*2*6+2*3*6 = 60+36 = 96
- 각 원소의 곱셈 횟수가 가장 작아지도록 하는 곱셈 순서를 구하고 싶다.(최적의 순서)
Brute Force 하게 접근하기
모든 경우의 수에 대해서 계산하고,최적의 순서를 선택하면 된다.
예시를 하나씩 해보다보면 알겠지만, 이 문제는 다양하게 해석이 가능하다.
- 괄호를 씌울 수 있는 경우의 수 - (ABC)(D),(AB)(CD)...
- Binary Search Tree의 갯수 (이건 좀 안와닿을 수 있다)
- 정사각형으로 이루어진 평면에서 최저경로로 목적지에 가는 경우의 수
연쇄 행렬 곱셈에서, 가능한 경우의 수?
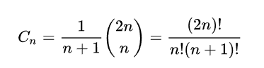
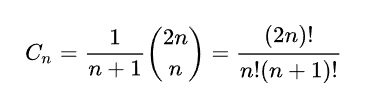
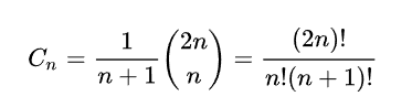
- 카탈란 수라고 따로 구하는 방법이 있다고 한다. (조합론에서 엄청 많이 나오는 수이고, 컴퓨터 쪽에서 많이 쓰인다고 합니다)

- 이 식이 어떻게 나왔는지는 , 다양한 개념들이 들어가야하기 때문에, 글이 산으로 갈거 같다. "카탈린 수 증명"이라고 구글형님께 물어보도록 하자!
어쨋든 우리에게 중요한 사실은 , n!꼴로 나타난 다는거고, 이건 곧, 구현할 때, O(지수꼴)로 구현이 된다는 거다.
(Brute Force하게 접근하면, 지수적으로 표현이 된다)
DP
문제 정의
- n개의 연쇄행결 곱셈: A1*A2*A3,....*An
- dk를 행렬 Ak의 행의 개수로 정의하자. (1<=k<=n)
- dk-1은 행렬 Ak-1의 행의 개수이고, Ak의 열의 개수라고 할 수 있다 . A1: d0*d1,A2:d1*d2 ....Ak : dk-1*dk
재귀관계식 도출
- M: 연쇄 행렬을 곱하는데 필요한 곱셈의 최소 회수 행렬
- M[i][j] = Ai에서 Aj까지 행렬을 곱하는데 필요한 최소 횟수
- M[i][j] = min(M[1][K] +M[K+1][j] +d0*dk*dj) (i<=k<=j-1)
import sys
# arr는 d0,d1,d2 와같은 식이라고 볼 수 있다.
dp = [[-1 for i in range(100)] for j in range(100)]
# 연쇄 행렬 곱셈 함수
def matrixChainMemoised(p, i, j):
if i == j:
return 0
if dp[i][j] != -1:
return dp[i][j]
dp[i][j] = sys.maxsize
for k in range(i, j):
dp[i][j] = min(dp[i][j], matrixChainMemoised(p, i, k) + matrixChainMemoised(p, k + 1, j)+ p[i - 1] * p[k] * p[j]))
return dp[i][j]
def MatrixChainOrder(p, n):
i = 1
j = n - 1
return matrixChainMemoised(p, i, j)
arr = [1, 2, 3, 4]
n = len(arr)
print("최소 연산 수는", MatrixChainOrder(arr, n))
Bottom - up 방식으로 구현하기 (python)
- 반복은 Upper diagnal 방식으로, 특이하게, 대각선을 기준으로 채워가는 방식으로 구현할 거임.
- 3중반복이 필요하지만, 연산횟수는 N^3이 아니다!
# Dynamic Programming 이용하기
import sys
def MatrixChainOrder(p, n):
m = [[0 for x in range(n)] for x in range(n)]
for i in range(1, n):
m[i][i] = 0
# L은 체인의 길이
for L in range(2, n):
for i in range(1, n-L + 1):
j = i + L-1
m[i][j] = sys.maxint
for k in range(i, j):
# q = cost / scalar multiplications
q = m[i][k] + m[k + 1][j] + p[i-1]*p[k]*p[j]
if q < m[i][j]:
m[i][j] = q
return m[1][n-1]
arr = [1, 2, 3, 4]
size = len(arr)
print("최소 연산 수는" +
str(MatrixChainOrder(arr, size)))
# This Code is contributed by Bhavya Jain
refer
알고리즘 스터디 [DP] - 연쇄 행렬 곱셈 feat. Python
연쇄 행렬 곱셈을 이용한 python 코드 작성하기
velog.io
[프로그래밍 수학] 카탈란 수(catalan number)
이 개념이 적용된 프로그래밍 문제를 풀 때 풀이과정이 흥미로웠다. 이를 다른 사람들과 공유하고 동시에 기록에 남기고 싶어서 이렇게 글을 쓴다. 카탈란 수는 자연수로 이루어진 수열이다.
soccer-programming.tistory.com
'알고리즘 개념(Concept)' 카테고리의 다른 글
| [알고리즘,개념] Binary search, Parametric Search (0) | 2022.02.10 |
|---|---|
| [개념/자료구조/파이썬] Disjoint Set, Union-Find 구조 (0) | 2022.02.02 |
| [알고리즘,개념,DP] LIS (Longest Increasing Subsequence) (0) | 2022.01.13 |
| [알고리즘,개념] DP(Dynamic Programming) (0) | 2022.01.07 |
| [알고리즘,개념] Backtracking (0) | 2022.01.05 |