Graph를 탐색하는 방법은 엄청 많다. 하지만, 그 중에서도 우리에게 의미가 있는 탐색방법이 있는데, 그 중 하나가 최단경로를 알아내는 것이다. 이것은 현실세계에서도 마찬가지이다. 돌아가는 것보단, 그 누구라도 목적지에 빨리 도달 하고 싶을 것이다.
Thinking
BFS/DFS는 가중치가 있는 그래프에서도 쓸 수 있지만, BFS/DFS는 완전탐색 알고리즘이므로, 결국 모든 노드를 방문해야한다. "어떻게 효율적으로 아래와 같은 가중치가 있는 그래프가 있을 때, 최단 경로를 알아낼 수 있을까" 의 이야기이다.

전제 조건
- Graph는 단방향이든, 양방향이든 가중치가 있는 그래프를 대상으로 한다.
- 각 간선은 음의 가중치가 없어야한다. * 왜 존재하면 안되는지 글의 끝에 설명하겠다. 현실세계라고 생각하자.
- 출발지와 도착지를 설정한다. * 경로를 정하려면, 출발지와 목적지는 있어야된다.
- 이미 방문을 했던 노드로는 방문하지 않는다.
- 다음 노드를 방문할 때는, 최단거리에 있는 노드를 먼저 방문한다.
다익스트라 최단경로
다익스트라 최단경로는 출발지에서 노드를 방문하면서, 해당 노드에서 각각의 노드까지의 최단거리를 갱신하는 알고리즘이다. 말로만 들으면, " 이 뭔솔 (이게 무슨 소리야 몰?루)" 이 될 수 있다. 따라서, 다익스트라 알고리즘의 Flow를 잘 이해하자.
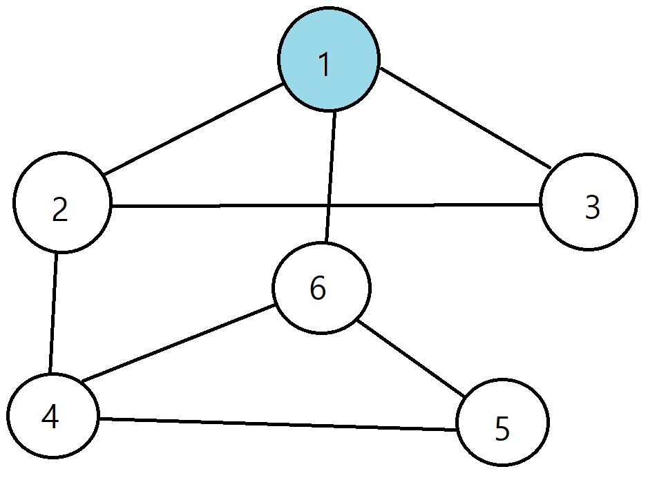
아래와 같은 그래프 관계가 있고, 각 노드에서 거리를 기록할 배열과, 방문을 기록할 배열을 선언해줬다. 출발점은 1이다.


Flow 1
- 가중치를 아래의 그림과 같이 정의하고, 1번 노드부터 출발을 한다.
- 1번 노드에서 방문이 가능한 노드는 2,6,3 번 노드가 있고, 각각의 노드까지의 거리를 기록한다.
- 1번 노드에는 방문을 해주었고, 2,3,6번 노드까지 현재까지 최단거리는 3,8,4가 되었다.


Flow 2
- 다음 방문 노드는 Distance 배열 중에서, 가장 작은 값(최단거리)에 있는 노드를 먼저 방문한다.
- 3번 노드를 방문하는 과정을 한번 보자. 우리는 2번 노드에 이미, 1번노드에서 2번노드 까지의 최단거리가 저장되어 있고 , 3번 노드에도 이미 값이 있다. 이 말은 , 즉 1->2->3 or 1->3 중 최단거리가 뭐냐를 정해줘야할 타이밍이 왔다는 거다. 이 부분에서 다익스트라님의 핵심 생각이 드러난다. distance[2]+ 2 to 3 edge 와 distance[3]의 값을 비교해서, 작은값으로 갱신시켜준다
- distance 배열에, 출발지로부터 각각의 노드마다 , 최단거리를 갖고있고, 각각의 노드를 방문하면서, 다시 최단거리를 갱신시키는 방법이라는 말이 이해가 될것이다!


Flow 3
- 최단거리가 같다면, 뭘 먼저 방문하든 똑같지만, 일반적으로는 작은 번호를 먼저 방문한다.
- 4번 노드를 방문해서, 위와 마찬가지로 최단거리를 갱신시켜준다.
- 5는 INF였기 때문에, distance[4] + edge의 값으로 갱신이 되고, distance[6]= 4 은 distance[4] +edge =4+5의 값보다 작기 때문에, 갱신이 되지 않는다.


Flow 3
- 이제 6번을 방문해준다.
- 6번은 4번과 5번을 방문할 수 있기 때문에, 위처럼 과정을 반복해준다.
- flow 3,4는 그림만 보고 다익스트라 알고리즘이 이해가 됬는지 보자.


Flow 4


5번 노드는, 방문을 해도되고, 안해도된다. 방문해봤자 , 의미가 없다. (갈 수 있는 노드가 없다)
s
Code
# Direction Graph 라고 가정.
# Not zero-base
# O(N^2), 약 노드 5,000개 이하 정도라면 문제 해결가능
import sys
input= sys.stdin.readline
N,E=map(int,input().split())
INF=int(1e9)
start=int(input().rstrip())
#인접 리스트
graph=[[] for _ in range(N+1)]
#방문 테이블
visited=[False for _ in range(N+1)]
# 거리 table
dist=[INF for _ in range(N+1)]
#그래프(인접 리스트 생성)
for _ in range(E):
a,b,c=map(int,input().split())
graph[a].append((b,c))
#방문 하지 않은 노드 중, 가장 짧은 거리에 있는 노드 선택
def get_nearest_node():
min_value=INF
index=0
for i in range(1,N+1):
if not visited[i] and dist[i]<min_value:
min_value=dist[i]
index=i
return index
def dijkstra(start):
dist[start] =0
visited[start] = True
#출발 노드에서 도달 할 수 있는 노드들
for nxt,d in graph[start]:
dist[nxt] = d
for i in range(N-1):
now = get_nearest_node()
visited[now] = True
# 현재 노드를 거쳐서, 해당 노드로 가는게 더 작을 경우
for nxt,d in graph[now]:
cost=dist[now] + d
if cost< dist[nxt]:
dist[nxt]=cost
dijkstra(start)
# 출력
for i in range(1,N+1):
if dist[i] == INF:
print("INF!!")
else:
print(dist[i])
여기서, 우리의 컴퓨터 장인들은 방문하는 순서를 선형적으로 탐색하지 않고, 우선순위 큐라는 자료를 가지고 ,
자동적으로 짧은 거리에 있는걸 방문하게끔 개선을 시켰다.
* 개선된 코드
import sys
#ElogV
import heapq
input= sys.stdin.readline
N,E= map(int,input().split())
INF=int(1e9)
start =int(input().rstrip())
graph=[[] for _ in range(N+1)]
dist=[INF for _ in range(N+1)]
for _ in range(E):
a,b,c=map(int,input().split())
graph[a].append((b,c))
def dijkstra(start):
hq=[]
heapq.heappush(hq,(0,start))
dist[start] = 0
while hq:
distance,now = heapq.heappop(hq)
if dist[now]<distance:
continue
for i in graph[now]:
cost=distance +i[1]
if cost<distance[i[0]]:
distance[i[0]]=cost
heapq.heappush(hq,(cost,i[0]))
Refer
'알고리즘 개념(Concept)' 카테고리의 다른 글
| [알고리즘/DP/개념] 팰린드롬 (0) | 2022.04.04 |
|---|---|
| [알고리즘/개념/그래프] 크루스칼 알고리즘(KrusKal Algorithm) (0) | 2022.04.01 |
| [알고리즘,개념] Binary search, Parametric Search (0) | 2022.02.10 |
| [개념/자료구조/파이썬] Disjoint Set, Union-Find 구조 (0) | 2022.02.02 |
| [알고리즘,개념] 연쇄 행렬 곱셈 문제(CMM) (0) | 2022.01.17 |